根據紅外輻射理論和熱像儀測溫原理,考慮被測物體附近高溫物體溫度、位置和被測物體對附近高溫物體吸收率的影響,得出了上述因素對被測物體真實溫度和測溫誤差影響的理論計算公式,分析了高溫物體溫度測量誤差、高溫物體位置測量誤差、對高溫物體輻射的吸收率測量誤差和附近高溫物體的溫度對紅外熱像儀測溫誤差的影響程度,并給出了減小誤差的對策,以提高熱像儀的測溫精度及降低輻射測溫誤差。
紅外熱成像測溫技術是一種非接觸、直觀、準確、靈敏度高、快速、安全、應用范圍廣泛的測定物體表面溫度場分布的檢測技術。該技術已在高壓電線巡檢、電站、配電設備和變電站等電氣設備和機器設備的狀態監測、半導體元件和集成電路的質量篩選和故障診斷、石化設備的故障診斷、火災的探測、材料內部缺陷的無損監測和傳熱研究等領域得到廣泛的應用,并取得了可觀的經濟效益。特別是80年代以后,隨著計算機技術的飛速發展,熱圖實時數字處理技術的出現,使熱像儀的操作、使用更加方便,測溫的動態范圍更大,熱像儀的測溫精度不斷提高、設備更加小巧,熱像儀在我國各行各業的普及率迅速提高。
很多時候紅外測溫是在室內進行的,如在艦船上,測量艙室內設備表面的溫度分布,紅外溫度測量的準確性除受到被測表面的發射率、反射率(或吸收率)、環境溫度等因素的影響外,還要受到附近高溫物體輻射的影響,如艦船艙室內有許多設備是高溫熱源。在考慮了被測表面的發射率、反射率(或吸收率)、環境溫度、大氣溫度、大氣衰減等因素,提出了紅外測溫真實溫度的計算公式;分析了影響紅外熱像儀測量物
體表面發射率的因素,給出了減少發射率測量誤差的方法討論了被測表面的發射率、反射率、環境溫度、大氣溫度、大氣衰減不同時,它們對紅外測量誤差的影響程度;文獻[4】總結了大氣吸收、大氣溫度、被測物體發射率、被測物體本身溫度、環境溫度和測量儀器指示溫度的測量誤差對紅外測溫誤差的影響。本文在前面工作的基礎上著重分析環境高溫物體對紅外測溫誤差的影響。
1 測溫原理
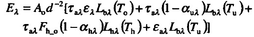
根據紅外熱像儀的測溫原理,在實際測量時,熱像儀接收到的有效輻射包括3部分: 目標自身輻射、環境反射輻射和大氣輻射。被測物體表面的輻射亮度為:




結論
紅外熱像儀測溫的準確性受到被測物體附近物體的溫度、位置和附近物體輻射吸收率等因素的影響。當附近物體的溫度、位置和對附近物體輻射吸收率測量不準確時,會影響被測物體真實溫度計算的精度。由于在不同條件下,附近物體的溫度、位置和對附近物體輻射吸收率等很難測量準確,從而造成測溫精度低、誤差大。
如果能準確給出環境物體的溫度、位置(角系數)和對環境物體輻射的吸收率,就能利用本文給出的計算公式,由熱像儀測得的輻射溫度準確算出被測物體表面的真實溫度。如有誤差,可根據誤差大小,算出被測表面真實溫度的測溫誤差。因此,本文的結果對提高熱像儀的測溫精度及降低輻射測溫誤差都有重要的意義。
紅外測溫時應選擇正確的測試角度和位置,或設置必要的屏蔽措施,以減小環境物體輻射的影響。
被測物體附近物體的溫度、位置和被測物體對鄰近物體輻射的吸收率的測量誤差,對測溫誤差有不同程度的影響,而且影響都比較大,不能忽略其大小。因此,對不同的因素,應采取不同的措施來減小測量誤差。上述因素對長波熱像儀的影響要比對短波熱像儀的影響小。在測溫時,應事先選擇適當工作波段的熱像儀。
相關新聞
探索紅外熱像儀在石油石化行業的具體應用 |
[2015/10/28] |
使用打獵夜視熱像儀該注意哪些事項? |
[2015/9/10] |
紅外熱像儀如何有效防止設備故障和斷電事故的發生? |
[2015/9/1] |
如何用紅外熱像儀給汽車體檢? |
[2015/8/13] |
紅外熱像儀在電梯檢測中的應用 |
[2015/8/6] |
